Kunci Jawaban
Kunci Jawaban Soal Matematika Kelas 7 SMP Halaman 155 Kurikulum Merdeka, Uji Kompetensi Nomor 5-7
Berikut ini adalah kunci jawaban soal Matematika kelas 7 SMP halaman 155 Kurikulum Merdeka, Uji Kompetensi nomor 5-7.
Penulis: Ayu Wahyuni | Editor: Ayu Wahyuni
a. (-9x - 5) + (3x + 10)
= -9x + 3x - 5 + 10
= -6x + 5
b. (5x-1) + (-5x-7)
= -5x - 5x - 1 - 7
= -8
c. (25x - 13) - (10x + 7)
= 25x - 10x - 13 - 7
= 15x - 20
d. (- 4x - 1) - (- 6x - 4)
= - 4x + 6x - 1 + 4
= 2x + 3
e. - 2(2x + 5) + 8(3x - 1)
= - 4x - 10 + 24x - 8
= - 4x + 24x - 10 - 8
= 20x - 18
f. 11(3x + 2) - 5(14x + 2)
= 33x + 22 - 70x - 10
= 33x - 70x + 22 - 10
= - 37x + 12
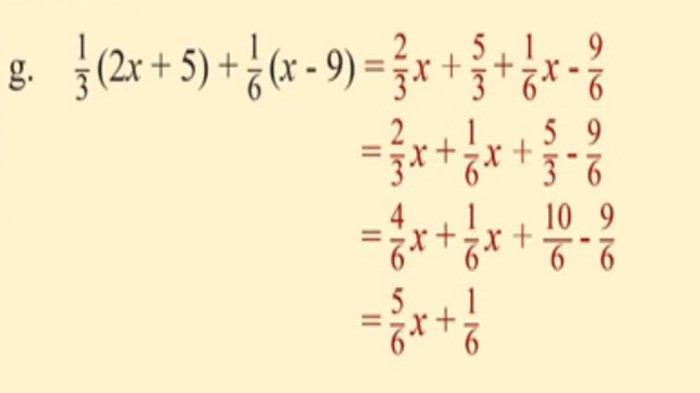
g.

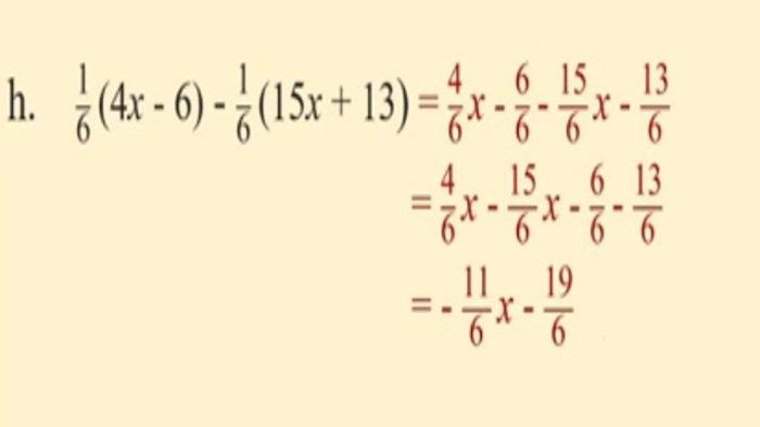
h.

Dapatkan konten pendidikan mata pelajaran lainnya dari Kurikulum Merdeka dengan klik Di Sini.
Dapatkan juga berita penting dan informasi menarik lainnya dengan mengklik Google News.
a. (-9x - 5) + (3x + 10)
= -9x + 3x - 5 + 10
= -6x + 5
b. (5x-1) + (-5x-7)
= -5x - 5x - 1 - 7
= -8
c. (25x - 13) - (10x + 7)
= 25x - 10x - 13 - 7
= 15x - 20
d. (- 4x - 1) - (- 6x - 4)
= - 4x + 6x - 1 + 4
= 2x + 3
e. - 2(2x + 5) + 8(3x - 1)
= - 4x - 10 + 24x - 8
= - 4x + 24x - 10 - 8
Kunci Jawaban Bahasa Indonesia Kelas 9 SMP Halaman 100 Kurikulum Merdeka, Latihan Siap-Siap Belajar |
![]() |
---|
Kunci Jawaban Bahasa Indonesia Kelas 9 SMP Hal 99 Kurikulum Merdeka Semester 1, Pertanyaan Pemantik |
![]() |
---|
Kunci Jawaban Bahasa Indonesia Kelas 9 SMP Halaman 80 Kurikulum Merdeka Semester 1, Media Sosial |
![]() |
---|
Kunci Jawaban Bahasa Indonesia Kelas 9 SMP Halaman 45 Kurikulum Merdeka Semester 1, Soal Kegiatan 7 |
![]() |
---|
Kunci Jawaban Bahasa Indonesia Kelas 9 SMP Halaman 50 Kurikulum 2013 Semester 1, Kegiatan Literasi |
![]() |
---|
Isi komentar sepenuhnya adalah tanggung jawab pengguna dan diatur dalam UU ITE.